一、选择题(每小题5分)

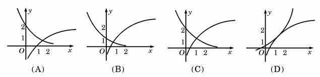
(2)函数f(x)=1+log2xg(x)=2-x+1在同一直角坐标系下的图象大致是( C



 

 

 

 

 

本课件完全公益,使用过程中有任何问题,或想参与新课件制作,请加开心教练QQ:29443574