一、选择题(每小题5分)
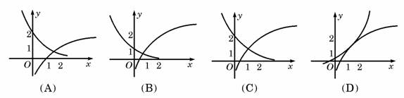
(2)
函数
f(x)=1+log2x
与
g
(
x
)
=2-x+1
在同一直角坐标系下的图象大致是(
C
)
本课件完全公益,使用过程中有任何问题,或想参与新课件制作,请加开心教练QQ:
29443574
。