22
.(本小题满分
14
分)
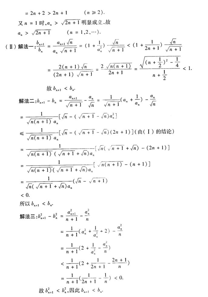
设数列
满足
(1)
证明
对一切正整数
n
成立;
(2)
令
,
判断
的大小,并说明理由。
本课件完全公益,使用过程中有任何问题,或想参与新课件制作,请加开心教练QQ:
29443574
。