三、解答题
(20)(本小题满分12分)
已知椭圆
的左焦点为F,O为坐标原点。
(I)求过点O、F,并且与椭圆的左准线
相切的圆的方程;
(II)设过点F且不与坐标轴垂直的直线交椭圆于A、B两点,线段AB的垂直平分
线与
轴交于点G,求点G横坐标的取值范围。

本小题主要考查直线、圆、椭圆和不等式等基本知识,考查平面解析几何的基
本方法,考查运算能力和综合解题能力。满分12分。
解:(I)∵![]()
∴圆过点O、F,
圆心M在直线
上。
设
则圆半径

由
得
解得![]()
所求圆的方程为![]()
(II)设直线AB的方程为![]()
代入
整理得![]()
∵直线AB过椭圆的左焦点F,
方程有两个不等实根。
记
中点![]()
则
的垂直平分线NG的方程为
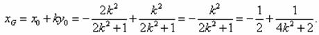
令得![]()

∵![]()
点G横坐标的取值范围为
本课件完全公益,使用过程中有任何问题,或想参与新课件制作,请加开心教练QQ:29443574。