二、解答题
(21)(本小题满分12分)
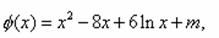
已知函数![]()
(I)求
在区间
上的最大值![]()
(II)是否存在实数
使得
的图象与
的图象有且只有三
个不同的交点?若存在,求出
的取值范围;若不存在,说明理由。
本小题主要考查函数的单调性、极值、最值等基本知识,考查运用导数研究函
数性质的方法,考查运算能力,考查函数与方程、数形结合、分类与整合等数学思
想方法和分析问题、解决问题的能力。满分12分。
解:(I)![]()
当
即
时,
在
上单调递增,
![]()
当
即
时,![]()
当
时,
在
上单调递减,
![]()
综上,
(II)函数
的图象与
的图象有且只有三个不同的交点,即函数
的图象与
轴的正半轴有且只有三个不同的交点。
∵![]()

当
时,
是增函数;
当
时,
是减函数;
当
时,
是增函数;
当
或
时,![]()
![]()
∵当
充分接近0时,
当
充分大时,![]()
要使
的图象与
轴正半轴有三个不同的交点,必须且只须
即![]()
所以存在实数
,使得函数
与
的图象有且只有三个不同的交点,
的取值范围为![]()
本课件完全公益,使用过程中有任何问题,或想参与新课件制作,请加开心教练QQ:29443574。