三、解答题

19.(本小题满分12)

   如图,已知平面A1B1C1平行于三棱锥V-ABC的底面ABC,等边△AB1C

所在的平面与底面ABC垂直,且∠ACB90°.设AC2aBCa

   ()求证直线B1C1是异面直线AB1A1C1的公垂线;

   ()求点A到平面VBC的距离;

   ()求二面角A-VB-C的大小.

解法一:

()证明:∵平面A1B1C1∥平面ABC

          B1C1BCA1ClAC

          BCAC

          B1C1A1C1

          又∵平面AB1C⊥平面ABC

          平面AB1C∩平面ABCAC

          BC⊥平面AB1C,∴BCAB1.

          B1C1AB1,又A1C1B1C1C1

            B1C1AB1=B1.

          B1C1AB1A1C1的公垂线.

()解法1:过AADB1CD

          ∵△AB1C为正三角形,

          DB1C的中点.

          BC⊥平面AB1C

          BCAD,又B1CBC=C

          AD⊥平面VBC

          ∴线段AD的长即为点A到平面VBC的距离.

          在正△AB1C中,AD=·AC×2aa

          ∴点A到平面VBC的距离为a

    解法2:取AC中点O连结B1O,则B1O⊥平面ABC,且B1Oa

           ()BCB1C.A到平面VBC的距离为x

           ,

           BC·AC·B1O=BC·B1C·x

           解得x=a

           A到平面VBC的距离a

()D点作DHVBH,连AH,由三垂线定理知AHVB

    ∴∠AHD是二面角A-VB-C的平面角.

    RtAHD

    AD=a,△B1DH∽△B1BC,

    DH=a,

    tanAHD=.

    ∴∠AHD=arctan

    所以,二面角A-VB-C的大小为arctan.

解法二:

    AC中点OB1O,易知OB1⊥底面ABC,过O作直线OEBCABE

O为空间直角坐标系的原点,OEOCOB1所在直线分别为x轴,y轴,

z轴建立如图所示的空间直角坐标系.

    A(0-a0)B(aa0)C(0a0)B1(00a)

()=(-a00)=(0aa)

    ·=(-a00)·(0aa)=0

   

    BCAB1.

    又∵B1C1BCB1C1AB1

    由已知BCACACA1C1

    BCA1C1

    BCB1C1,∴B1C1A1C1.

    B1C1AB1A1C1显然相交,

    B1C1AB1A1C1的公垂线.

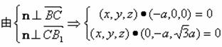
()设平面VBC的一个法向量n=(xyz)

(0-aa)

    zn(01)

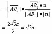
    A到平面VBC的距离,即在平面VBC的法向量n上的投影的绝对值.

    (0aa),设所求距离为d

   

       所以,A到平面VBC的距离为a

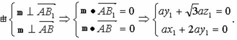
  ()设平面VAB的一个法向量m(x1y1z1)

      z1=1  m=(2-1)

     

      ∵二面角A-VB-C为锐角,

      所以,二面角A-VB-C的大小为arccos.

 

 

 

 

 

本课件完全公益,使用过程中有任何问题,或想参与新课件制作,请加开心教练QQ:29443574