三、解答题

(22)(本小题满分14)

如图,双曲线=1a0b0)的离心率为F1F2分别

为左、右焦点,M为左准线与渐近线在第二象限内的交点,且.

 ()求双曲线的方程;

()A(m0)B(0)

x轴上的两点.过点A作斜率不为0

直线l,使得l交双曲线于CD两点,

作直线BC交双曲线于另一点E.证明直线DE垂直于x.

本小题主要考查双曲线的标准方程和几何性质、直线方程、平面向量、曲线

和方程的关系等解析几何的基础知识和基本思想方法,考查推理和运算能力.

满分14.
    (
)解:根据题设条件,F1-c,0,F2(c,0).设点Mx,y.xy
满足

           

 

e=,解得M(-),

=

利用a2+b2=c2,c2=,于是a2=1,b2=.因此,所求双曲线方程为

x2-4y2=1.

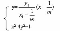
()解:设点Cx1,y1,D(x2,y2),E(x3,y3),则直线l的方程为

                y=(x-m).

于是C(x1,y1)D(x2,y2)两点坐标满足

将①代入②得

x12-2x1m+m2-4y12x2+8my12x-4y12m2-x12+2mx1-m2=0.

x21-4y21=1  (C在双曲线上),上面方程可化简为

m2-2x1m+1x2+8my12x-(x12-2mx1+m2x12)=0.

由已知,显然m2-2x1m+10.于是x1x2=-.因为x10,得

x2=

同理,C(x1,y1)E(x3,y3)两点坐标满足

可解得

x3=

所以x2=x3,故直线DE垂直于x.

 

 

 

 

 

 

 

 

 

 

 

本课件完全公益,使用过程中有任何问题,或想参与新课件制作,请加开心教练QQ:29443574