|
知识梳理
1、指数幂的概念
(1)根式
如果一个数的n次方等于a(n>1,且n∈`N^**`),那么这个数叫做a的n次方根.也就是,若`x^n=a`,则x叫做底数,
其中n>1,且n∈`N^**`.式子`root(n)(a)`叫做根式,这里n叫做根指数,a叫做被开方数.
(2)根式的性质
①当n为奇数时,正数的n次方根是一个正数,负数的n次方根是一个负数,这时,a的n次方根用符号`root(n)(a)`表示.
②当n为偶数时,正数的n次方根有两个,它们互为相反数,这时,正数的正的n次方根用符号`root(n)(a)`表示,负的n次方根用符号`-root(n)(a)`表示.正
负两个n次方根可以合写为`+-root(n)(a)(a>0)`.
③`(root(n)(a))^n=a`.
④当n为奇数时,`root(n)(a^n)=a`;当n为偶数时,`root(n)(a^n)=|a|`.
⑤负数没有偶次方根.
⑥零的任何次方根都是零.
(3)分数指数幂的意义
①`a^(m/n)=root(n)(a^m) (a>0,m、n in N^**,且n>1)`;
②`a^(-m/n)=1/(a^(m/n)) (a>0,m、n in N^**,且n>1)`.
(4)有理数指数幂的运算性质
①`a^r*a^s=a^(r+s)`(a>0,r∈Q,s∈Q);
②`a^r-:a^s=a^(r-s)`(a>0,r∈Q,s∈Q);
③`(a^r)^s=a^(rs)`(a>0,r∈Q,s∈Q);
④`(ab)^r=a^rb^r`(a>0,b>0,r∈Q).
2、对数
(1)对数的概念:如果`a(a>0,n≠1)`的`b`次幂等于`N`,就是`a^b`=N,那么,数`b`叫做以`a`为底`N`的对数,记作`log_aN``=``b`,其中a叫做对数的底数,N叫做对数的真数.
(2)常用对数:通常将`log_(10)N`的对数叫做常用对数,记作`lgN`.
自然对数:通常将以无理数`e=2.718 28…`为底的对数叫做自然对数,记作`lnN`.
(3)对数的性质
①零和负数没有对数;
②`log_a1=0 (a>0,a≠1);
③`log_aa=1 (a>0,n≠1);
④`a^(log_aN)=N (a>0,n≠1,N>0)`.
3、对数的运算性质
如果`a>0`,`a≠1`,`M>O`,`N>0`,那么
(1)`log_a(MN)=log_aM+log_aN`;
(2)`log_aM/N=log_aM-log_aN`;
(3)`log_aM^n=nlog_aM(n∈R)`.
4、基本概念
(1)对数函数的概念:
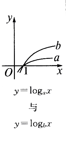
函数`y=log_ax`叫做对数函数,其中a是一个大于零且不等于1的常量,函数的定义域是(0,+∞);
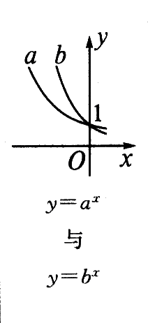
(2)指数函数的概念:函数`y=a^x`(其中`a>0`且`a≠1`)叫做指数函数;
(3)指数函数与对数函数互为反函数.
5、指数函数、对数函数的图象及性质
| |
|
图象 |
a>1
 |
0<a<1  |
|
定义域值域 |
指数函数 |
定义域:R 值域:(0.+∞) |
|
对数函数 |
定义域:(O,+∞)
值域:R |
|
性
质 |
指数函数 |
0<a<l,在R上为减函数
a>l,在R上为增函数 |
|
对数函数 |
0<a<l,在(O,+∞)上为减函数
a>l,在(O,+∞)上为增函数 |
|
|