活在当下,做最好的自己!
收藏夹
我的
站内搜索:
高级搜索
首页
>
数学
>
基础知识
>
必修2
空间几何体的体积
br>
空间几何体的表面积
<-->
球的体积和表面积
空间几何体的体积
(1)柱、锥、台的体积:
①柱体体积:
柱体的体积是
,其中S是底面面积,
为柱体的高。
特别地,棱长为
的正方体的体积
;
长、宽和高分别为
的长方体的体积为
;
底面半径为
高为
的圆柱的体积是
。
②椎体体积:
锥体的体积是
,其中
是底面面积,
为锥体的高。
特别地,底面半径为
高为
的圆锥的体积是
。
③台体体积:
由于台体是由椎体截成的,因此可以利用两个锥体的体积差,得到台体的体积公式
,其中
,
分下底面面积,
为台体的高。
特别地,底面半径为
高为
的圆台的体积别为V=
。
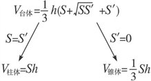
④柱体、椎体、台体体积的关系:
柱体可以看作是上、下底面相同的台体,锥体可以看作是有一个底面是一个点的台体。当
时,台体的体积公式变为锥体的体积公式;当
时,台体的体积公式变为柱体的体积公式,因此,柱体、锥体的体积公式可以看作台体体积公式的“特殊”形式。它们之间的体积关系为:
空间几何体的表面积
<-->
球的体积和表面积
全网搜索"空间几何体的体积"相关
来顶一下
返回首页
收藏知识
打印
相关知识
空间几何体的体积
无相关信息
发表笔记
共有
条笔记
验证码:
学习笔记(共有
0
条)
开心教练从2004年开始自费开设这个网站. 为了可以持续免费提供这些内容, 为维持网站运营,请大家随意打赏或者点击以下广告,谢谢!,
(微信中可直接长按微信打赏二维码。)
微信
支付宝
开心教练QQ:29443574
1.0
© 2004-2023
91学
(
闽ICP备11019754号-1
)