活在当下,做最好的自己!
收藏夹
我的
站内搜索:
高级搜索
首页
>
数学
>
基础知识
>
必修4
正弦曲线
br>
五点法
<-->
余弦曲线
正弦曲线
〖形成〗
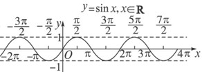
用正弦线画函数y=sinx,x∈[0,2π]的精确图象:
〖定义〗
我们只要将y=sinx,x∈[0,2π]的图象向左、向右平行移动(每次2π个单位长度),就得到正弦函数的图象如下图所示:
正弦函数的图象叫做
正弦曲线
。
详解:
〖相关知识〗
余弦曲线
五点法
<-->
余弦曲线
全网搜索"正弦曲线"相关
来顶一下
返回首页
收藏知识
打印
相关知识
正弦曲线
无相关信息
发表笔记
共有
条笔记
验证码:
学习笔记(共有
0
条)
开心教练从2004年开始自费开设这个网站. 为了可以持续免费提供这些内容, 为维持网站运营,请大家随意打赏或者点击以下广告,谢谢!,
(微信中可直接长按微信打赏二维码。)
微信
支付宝
开心教练QQ:29443574
1.0
© 2004-2023
91学
(
闽ICP备11019754号-1
)