一、选择题(每小题5分)

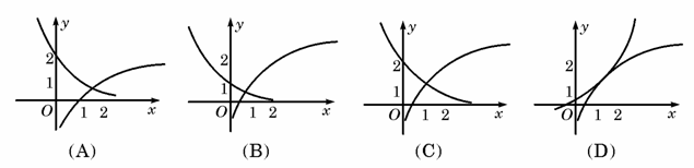
(2)函数f(x)=1+log2xg(x)=2-x+1在同一直角坐标系下的图象大致是( )



 

 

 

 

 

 

解答

(9)某公司有60万元资金,计划投资甲、乙两个项目,按要求对项目甲的投资

不小于对项目乙投资的倍,且对每个项目的投资不能低于5万元,对项目甲每

投资1万元可获得0.4万元的利润,对项目乙每投资1万元可获得0.6万元的利润,

该公司正确规划投资后,在这两个项目上共可获得的最大利润为()

(A36万元       B31.2万元     C30.4万元    D24万元

解答

二、填空题(每小题4分)

13)若函数f(x)=e-(m-u)2 (c是自然对数的底数)的最大值是m,

f(x)是偶函数,则m+u=    .

解答

三、解答题

(22)(本小题满分14)

设函数.

()x=6,的展开式中二项式系数最大的项;

()对任意的实数x,证明

()是否存在,使得an恒成立?若存在,试证明你的结论

并求出a的值;若不存在,请说明理由.

解答

本课件完全公益,使用过程中有任何问题,或想参与新课件制作,请加开心教练QQ:29443574