一、选择题(每小题5分)
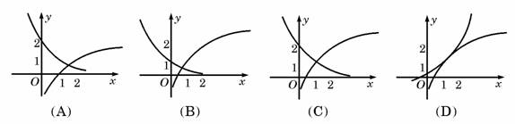
(2)函数f(x)=1+log2x与g(x)=2-x+1在同一直角坐标系下的图象大致是()

(11)某公司有60万元资金,计划投资甲、乙两个项目,按要求对项目甲的投资
不小于对项目乙投资的
倍,且对每个项目的投资不能低于5万元,对项目甲每投
资1万元可获得0.4万元的利润,对项目乙每投资1万元可获得0.6万元的利润,该
公司正确提财投资后,在两个项目上共可获得的最大利润为()
A.36万元 B.31.2万元 C.30.4万元 D.24万元
三、解答题
(20)(本小题满分12分)
设函数f(x)=ax3+bx+c(a≠0)为奇函数,其图象在点(1,f(1))处的切线
与直线x-6y-7=0垂直,导函数f'(x)的最小值为-12.
(Ⅰ)求a,b,c的值;
(Ⅱ)求函数f(x)的单调递增区间,并求函数f(x)在〔-1,3〕上的最大值和最小值.
本课件完全公益,使用过程中有任何问题,或想参与新课件制作,请加开心教练QQ:29443574。